VTÚ zajišťuje spolehlivost elektroniky ve vojenských vozidlech

Vojenský technický ústav s.p., odštěpný závod VTÚPV ve Vyškově provozuje zkušebnu elektromagnetické kompatibility (EMC), která se zaměřuje na testování elektronických zařízení určených pro vojenská vozidla. Jejím cílem je ověřit, že zařízení budou spolehlivě fungovat v podmínkách palubních napájecích sítí a současně nebudou negativně ovlivňovat ostatní systémy ve vozidle.

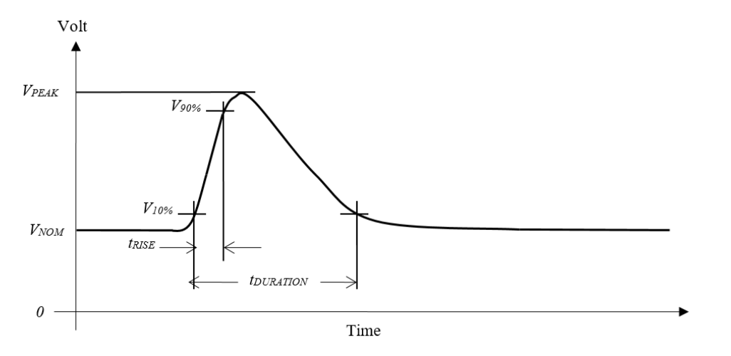
Zkoušky se provádějí podle vojenského standardu MIL-STD-1275F (2022), který definuje charakteristiky vstupního napájení 28 V DC pro zařízení používaná ve vojenských vozidlech. V praxi to znamená simulaci různých typů elektromagnetického rušení a výkyvů napětí, které se mohou v palubních napájecích sítích vyskytovat.

Elektronická zařízení jsou ve zkušebně testována ještě předtím, než jsou do vozidel zabudována. Součástí testování je nejen ověření jejich odolnosti vůči rušení, ale také kontrola, zda sama nevytvářejí nežádoucí rušení v napájecím vedení.

Díky těmto zkouškám lze zajistit, že jednotlivé elektronické systémy budou ve vozidle fungovat spolehlivě a bez vzájemného ovlivňování, což je klíčové pro bezpečný a efektivní provoz vojenské techniky.

© Vojenský technický ústav, s.p.
Přesunout nahoru